Nội Dung
Hướng dẫn giải Bài 26. Phép cộng và phép trừ đa thức một biến sgk Toán 7 tập 2 bộ Kết Nối Tri Thức Với Cuộc Sống. Nội dung bài Giải bài 12 13 14 15 16 17 trang 33 sgk Toán 7 tập 2 Kết Nối Tri Thức bao gồm đầy đủ phần lí thuyết kèm bài giải các câu hỏi, hoạt động, luyện tập, vận dụng và bài tập, giúp các bạn học sinh học tốt môn toán 7.
BÀI 26. PHÉP CỘNG VÀ PHÉP TRỪ ĐA THỨC MỘT BIẾN
1. CỘNG HAI ĐA THỨC MỘT BIẾN
Câu hỏi trang 32 Toán 7 tập 2 KNTT
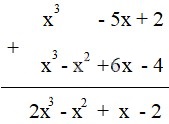
Tìm tổng của hai đa thức: $x^3 – 5x + 2$ và $x^3 – x^2 +6x – 4$.
Trả lời:
♦ Cách 1: Bỏ dấu ngoặc rồi nhóm các hạng tử cùng bậc.
Tổng của hai đa thức $x^3 – 5x + 2$ và $x^3 – x^2 + 6x – 4$ là:
$(x^3 – 5x + 2) + (x^3 – x^2 + 6x – 4)$
$= x^3 – 5x + 2 + x^3 – x^2 +6x – 4$
$=(x^3 + x^3 ) – x^2 + (– 5x + 6x) + (2 – 4)$
$= 2x^3 – x^2 + x – 2$
♦ Cách 2: Đặt tính cộng sao cho các hạng tử cùng bậc đặt thẳng cột với nhau rồi cộng theo từng cột.

Luyện tập 1 trang 32 Toán 7 tập 2 KNTT
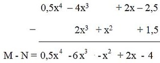
Cho hai đa thức $M = 0,5x^4 – 4x^3 + 2x – 2,5$ và $N = 2x^3 + x^2 + 1,5$.
Hãy tính tổng $M + N$ (trình bày theo hai cách).
Trả lời:
♦ Cách 1: Bỏ dấu ngoặc rồi nhóm các hạng tử cùng bậc.
$M + N = (0,5x^4 – 4x^3 + 2x – 2,5) + (2x^3 + x^2 + 1,5)$
$= 0,5x^4 – 4x^3 + 2x – 2,5 + 2x^3 + x^2 + 1,5$
$= 0,5x^4 + (-4x^3 + 2x^3 ) + x^2 + 2x + (-2,5 + 1,5)$
$= 0,5x^4 + (– 2x^3 ) + x^2 + 2x + (-1)$
$= 0,5x^4 – 2x^3 + x^2 + 2x – 1$
♦ Cách 2: Đặt tính cộng sao cho các hạng tử cùng bậc đặt thẳng cột với nhau rồi cộng theo từng cột.

Vận dụng 1 trang 32 Toán 7 tập 2 KNTT
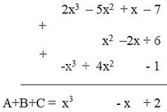
Đặt tính cộng để tìm tổng của ba đa thức sau:
$A = 2x^3 – 5x^2 + x – 7$;
$B = x^2 – 2x + 6$;
$C = -x^3 + 4x^2 – 1$.
Trả lời:
Đặt tính cộng sao cho các hạng tử cùng bậc đặt thẳng cột với nhau rồi cộng theo từng cột, ta có:

2. TRỪ HAI ĐA THỨC MỘT BIẾN
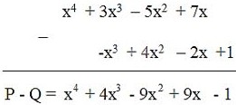
Cho hai đa thức $P = x^4 + 3x^3 – 5x^2 + 7x$ và $Q = -x^3 + 4x^2 – 2x +1$.
Hoạt động 1 trang 32 Toán 7 tập 2 KNTT
Tìm hiệu $P – Q$ bằng cách bỏ dấu ngoặc rồi nhóm các hạng tử cùng bậc và thu gọn.
Trả lời:
Ta có:
$P – Q = x^4 + 3x^3 – 5x^2 + 7x – (-x^3 + 4x^2 – 2x +1)$
$= x^4 + 3x^3 – 5x^2 + 7x + x^3 – 4x^2 – 4x^2 + 2x – 1$
$= x^4 + (3x^3+ x^3 ) + (– 5x^2 – 4x^2 ) + (7x + 2x ) – 1$
$= x^4 + 4x^3 – 9x^2 + 9x – 1$.
Vậy $P – Q = x^4 + 4x^3 – 9x^2 + 9x – 1$.
Hoạt động 2 trang 32 Toán 7 tập 2 KNTT
Tìm hiệu $P – Q$ bằng cách đặt tính trừ: đặt đa thức Q dưới đa thức P sao cho các hạng tử cùng bậc thẳng cột với nhau rồi trừ theo từng cột.
Trả lời:
Đặt phép tính ta được:

Vậy $P – Q = x^4 + 4x^3 – 9x^2 + 9x – 1$.
Luyện tập 2 trang 32 Toán 7 tập 2 KNTT
Cho hai đa thức:
$M = 0,5x^4 – 4x^3 + 2x – 2,5$ và $N = 2x^3 + x^2 + 1,5$.
Hãy tính hiệu $M – N$ (trình bày theo hai cách).
Trả lời:
♦ Cách 1: Bỏ dấu ngoặc rồi nhóm các hạng tử cùng bậc.
$M – N = (0,5x^4 – 4x^3 + 2x – 2,5) – ( 2x^3 + x^2 + 1,5)$
$= 0,5x^4 – 4x^3 + 2x – 2,5 – 2x^3 – x^2 – 1,5$
$= 0,5x^4 + (– 4x^3 – 2x^3 ) – x^2 + 2x + (-2,5 – 1,5)$
$= 0,5x^4 + (– 6x^3 ) – x^2 + 2x + (-4)$
$= 0,5x^4 – 6x^3 – x^2 + 2x – 4$.
Vậy $M – N = 0,5x^4 – 6x^3 – x^2 + 2x – 4$.
♦ Cách 2: Đặt tính trừ sao cho các hạng tử cùng bậc đặt thẳng cột với nhau rồi trừ theo từng cột.

Vậy $M – N = 0,5x^4 – 6x^3 – x^2 + 2x – 4$.
Vận dụng 2 trang 33 Toán 7 tập 2 KNTT
Cho đa thức $A = x^4 – 3x^2 – 2x + 1$. Tìm các đa thức B và C sao cho:
$A + B = 2x^5 + 5x^3 – 2$;
$A – C = x^3$.
Trả lời:
Ta có:
• $B = (A + B) – A$
$= 2x^5 + 5x^3 – 2 – (x^4 – 3x^2 – 2x + 1)$
$= 2x^5 + 5x^3 – 2 – x^4 + 3x^2 + 2x – 1$
$= 2x^5 – x^4 + 5x^3 + 3x^2 + (-2 – 1)$
$= 2x^5 – x^4 + 5x^3 + 3x^2 – 3$.
• $C = A – (A – C)$
$= x^4 – 3x^2 – 2x + 1 – x^3$
$= x^4 – x^3– 3x^2 – 2x + 1$
Vậy:
$B = 2x^5 – x^4 + 5x^3 + 3x^2 – 3$.
$C = x^4 – x^3 – 3x^2 – 2x + 1$.
GIẢI BÀI TẬP
Sau đây là phần Giải bài 12 13 14 15 16 17 trang 33 sgk Toán 7 tập 2 Kết Nối Tri Thức. Nội dung chi tiết bài giải từng bài tập các bạn xem dưới đây:
Giải bài 7.12 trang 33 Toán 7 tập 2 KNTT
Tìm tổng của hai đa thức sau bằng cách nhóm các hạng tử cùng bậc:
$x^2 – 3x + 2$ và $4x^3 – x^2 + x – 1$.
Bài giải:
Ta có:
$(x^2 – 3x + 2) + (4x^3 – x^2 + x – 1)$
$= x^2 – 3x + 2 + 4x^3 – x^2 + x – 1$
$= 4x^3 + (x^2 – x^2 ) + (-3x + x) + (2 – 1)$
$= 4x^3 – 2x + 1$.
Vậy tổng của hai đa thức bằng $4x^3 – 2x + 1$.
Giải bài 7.13 trang 33 Toán 7 tập 2 KNTT
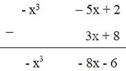
Tìm hiệu sau theo cách đặt tính trừ: $(- x^3 – 5x + 2) – (3x + 8)$.
Bài giải:
Đặt phép tính ta được:

Giải bài 7.14 trang 33 Toán 7 tập 2 KNTT
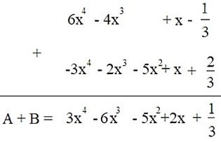
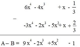
Cho hai đa thức:
\(A = 6{x^4} – 4{x^3} + x – \dfrac{1}{3};B = – 3{x^4} – 2{x^3} – 5{x^2} + x + \dfrac{2}{3}\).
Tính $A + B$ và $A – B$.
Bài giải:
♦ Cách 1: Bỏ dấu ngoặc rồi nhóm các hạng tử cùng bậc.
• $A + B = (6{x^4} – 4{x^3} + x – \dfrac{1}{3}) + ( – 3{x^4} – 2{x^3} – 5{x^2} + x + \dfrac{2}{3})\\ = 6{x^4} – 4{x^3} + x – \dfrac{1}{3} – 3{x^4} – 2{x^3} – 5{x^2} + x + \dfrac{2}{3}\\ = (6{x^4} – 3{x^4}) + ( – 4{x^3} – 2{x^3}) – 5{x^2} + (x + x) + ( – \dfrac{1}{3} + \dfrac{2}{3})\\ = 3{x^4} – 6{x^3} – 5{x^2} + 2x + \dfrac{1}{3}$
• $A – B = (6{x^4} – 4{x^3} + x – \dfrac{1}{3}) – ( – 3{x^4} – 2{x^3} – 5{x^2} + x + \dfrac{2}{3})\\ = 6{x^4} – 4{x^3} + x – \dfrac{1}{3} + 3{x^4} + 2{x^3} + 5{x^2} – x – \dfrac{2}{3}\\ = (6{x^4} + 3{x^4}) + ( – 4{x^3} + 2{x^3}) + 5{x^2} + (x – x) + ( – \dfrac{1}{3} – \dfrac{2}{3})\\ = 9{x^4} – 2{x^3} + 5{x^2} – 1$.
♦ Cách 2: Đặt tính.


Vậy:
$A + B = 3{x^4} – 6{x^3} – 5{x^2} + 2x + \dfrac{1}{3}$.
$A – B = 9{x^4} – 2{x^3} + 5{x^2} – 1$.
Giải bài 7.15 trang 33 Toán 7 tập 2 KNTT
Cho các đa thức:
\(A = 3{x^4} – 2{x^3} – x + 1; \,B = – 2{x^3} + 4{x^2} + 5x; \,C = – 3{x^4} + 2{x^2} + 5\);
Tính $A + B + C$; $A – B + C$ và $A – B – C$.
Bài giải:
Ta có:
• $A + B + C \\= (3{x^4} – 2{x^3} – x + 1) + (- 2{x^3} + 4{x^2} + 5x) + (- 3{x^4} + 2{x^2} + 5)\\ = 3{x^4} – 2{x^3} – x + 1 – 2{x^3} + 4{x^2} + 5x – 3{x^4} + 2{x^2} + 5\\ = (3{x^4} – 3{x^4}) + (- 2{x^3} – 2{x^3}) + (4{x^2} + 2{x^2}) + (- x + 5x) + (1 + 5)\\ = 0 + (- 4{x^3}) + 6{x^2} + 4x + 6\\ = – 4{x^3} + 6{x^2} + 4x + 6$
• $A – B + C \\= (3{x^4} – 2{x^3} – x + 1) – (- 2{x^3} + 4{x^2} + 5x) + (- 3{x^4} + 2{x^2} + 5)\\ = 3{x^4} – 2{x^3} – x + 1 + 2{x^3} – 4{x^2} – 5x – 3{x^4} + 2{x^2} + 5\\ = (3{x^4} – 3{x^4}) + (- 2{x^3} + 2{x^3}) + (- 4{x^2} + 2{x^2}) + (- x – 5x) + (1 + 5)\\ = 0 + 0 + (- 2{x^2}) – 6x + 6\\ = – 2{x^2} – 6x + 6$
• $A – B – C \\= (3{x^4} – 2{x^3} – x + 1) – (- 2{x^3} + 4{x^2} + 5x) – (- 3{x^4} + 2{x^2} + 5)\\ = 3{x^4} – 2{x^3} – x + 1 + 2{x^3} – 4{x^2} – 5x + 3{x^4} – 2{x^2} – 5\\ = (3{x^4} + 3{x^4}) + (- 2{x^3} + 2{x^3}) + (- 4{x^2} – 2{x^2}) + (- x – 5x) + (1 – 5)\\ = 6{x^4} + 0 + (- 6{x^2}) – 6x + ( – 4)\\ = 6{x^4} – 6{x^2} – 6x – 4$.
Vậy:
$A + B + C = – 4{x^3} + 6{x^2} + 4x + 6$.
$A – B + C = – 2{x^2} – 6x + 6$.
$A – B – C = 6{x^4} – 6{x^2} – 6x – 4$.
Giải bài 7.16 trang 33 Toán 7 tập 2 KNTT
Bạn Nam được phân công mua một số sách làm quà tặng trong buổi tổng kết cuối năm học của lớp. Nam dự định mau ba loại sách với giá bán như bảng sau. Giả sử Nam cần mua x cuốn sách khoa học, x+8 cuốn sách tham khảo và x + 5 cuốn truyện tranh.

a) Viết các đa thức biểu thị số tiền Nam phải trả cho từng loại sách.
b) Tìm đa thức biểu thị tổng số tiền Nam phải trả để mua số sách đó.
Bài giải:
a) Đa thức biểu thị số tiền Nam phải trả cho truyện tranh là:
$A = (x +5). 15 \,000 = 15 \,000x + 75 \,000$ (đồng)
Đa thức biểu thị số tiền Nam phải trả cho sách tham khảo là:
$B = (x + 8) . 12 \,500 = 12 \,500x + 100 \,000$ (đồng)
Đa thức biểu thị số tiền Nam phải trả cho sách khoa học là:
$C = x . 21 \,500$ (đồng)
b) Đa thức biểu thị tổng số tiền Nam phải trả để mua số sách đó là:
$P = A + B + C$
$= 15 \,000x + 75 \,000 + 12 \,500x + 100 \,000 + x . 21 \,500$
$= (15 000 + 12 \,500 + 21 \,500)x + (75 \,000 + 100 \,000)$
$= 49 \,000x + 175 \,000$ (đồng)
Giải bài 7.17 trang 33 Toán 7 tập 2 KNTT
Trên một mảnh đất hình chữ nhật có chiều dài 65 m, người ta định làm một bể bơi có chiều rộng là x nét, chiều dài gấp 3 lần chiều rộng. Sơ đồ và kích thước cụ thể (tính bằng mét) đươc cho trong Hình 7.1. Tìm đa thức (biến x):
a) Biểu thị diện tích bể bơi.
b) Biểu thị diện tích mảnh đất.
c) Biểu thị diện tích phần đất xung quanh bể bơi.

Bài giải:
a) Bể bơi có chiều dài là $3x$, chiều rộng là $x$ nên đa thức biểu thị diện tích bể bơi là:
$B = 3x. x = 3.x^2$
b) Mảnh đất có chiều dài là $65$, chiều rộng là $5 + x + 4 = x + 9$ nên đa thức biểu thị diện tích mảnh đất là:
$D = 65. (x+9) = 65x + 585$
c) Diện tích xung quanh bể bơi = diện tích mảnh đất – diện tích bể bơi nên đa thức biểu thị diện tích phần đất xung quanh bể bơi là:
$Q = D – B$
$= 65x + 585 – 3.x^2$
$= -3.x^2 +65x + 585$
Bài trước:
👉 Giải bài 5 6 7 8 9 10 11 trang 30 sgk Toán 7 tập 2 Kết Nối Tri Thức
Bài tiếp theo:
👉 Giải bài 18 19 20 21 22 trang 35 sgk Toán 7 tập 2 Kết Nối Tri Thức
Trên đây là bài Hướng dẫn Giải bài 12 13 14 15 16 17 trang 33 sgk Toán 7 tập 2 Kết Nối Tri Thức đầy đủ, ngắn gọn và dễ hiểu nhất. Chúc các bạn làm bài môn toán 7 tốt nhất!
“Bài tập nào khó đã có giaibaisgk.com“
