Nội Dung
Hướng dẫn giải Bài 27. Phép nhân đa thức một biến sgk Toán 7 tập 2 bộ Kết Nối Tri Thức Với Cuộc Sống. Nội dung bài Giải bài 23 24 25 26 27 28 29 trang 38 sgk Toán 7 tập 2 Kết Nối Tri Thức bao gồm đầy đủ phần lí thuyết kèm bài giải các câu hỏi, hoạt động, luyện tập, vận dụng và bài tập, giúp các bạn học sinh học tốt môn toán 7.
BÀI 27. PHÉP NHÂN ĐA THỨC MỘT BIẾN
Bài toán mở đầu trang 36 Toán 7 tập 2 KNTT
Anh Pi: Em hãy:
– Lấy tuổi của mình cộng với 1 rồi bình phương lên. Số nhận được gọi là kết quả thứ nhất.
– Lại lấy tuổi của mình trừ đi 1 rồi bình phương lên. Số nhận được gọi là kết quả thứ hai.
– Lấy kết quả thứ nhất trừ đi kết quả thứ hai và cho anh biết kết quả cuối cùng.
Anh sẽ đoán được tuổi của em.
Không biết anh Pi làm thế nào nhỉ? Học xong bài này em sẽ khám phá được bí mật đó.
Trả lời:
Giả sử kết quả cuối cùng là 48.
Gọi tuổi cần đoán là x tuổi (x ∈N*).
– Lấy tuổi cộng 1 rồi bình phương lên ta được $(x + 1)^2$. Ta có:
$(x + 1)^2 = (x + 1).(x + 1)$
$= x.(x + 1) + 1.(x + 1)$
$= x.x + x.1 + 1.x + 1.1$
$= x^1+1 + x + x + 1$
$= x^2 + 2x + 1$
– Lấy tuổi trừ 1 rồi bình phương lên ta được $(x – 1)^2$. Ta có:
$(x – 1)^2 = (x – 1).(x – 1)$
$= x.(x – 1) – 1.(x – 1)$
$= x[x + (-1)] – (x – 1)$
$= x.x + x.(-1) – x + 1$
$= x^{1+1} + (-x) – x + 1$
$= x^2 – x – x + 1$
$= x^2 – 2x + 1$
– Lấy kết quả thứ nhất trừ đi kết quả thứ hai ta được:
$(x^2 + 2x + 1) – (x^2 – 2x + 1)$
$= x^2 + 2x + 1 – x^2 + 2x – 1$
$= (x^2 – x^2) + (2x + 2x) + (1 – 1)$
$= 4x$
Do kết quả cuối cùng là 48 nên $4x = 48$
$x = 48 : 4$
$x = 12$.
Vậy tuổi cần đoán là $12$.
1. NHÂN ĐƠN THỨC VỚI ĐA THỨC
Hoạt động 1 trang 36 Toán 7 tập 2 KNTT
Hãy nhắc lại cách nhân hai đơn thức và tính $(12x^3).(-5x^2)$.
Trả lời:
– Cách nhân 2 đơn thức: Muốn nhân 2 đơn thức, ta nhân hai hệ số với nhau và nhân hai lũy thừa của biến với nhau.
– Áp dụng:
$(12x^3).(-5x^2) = 12. (-5). (x^3 . x^2) = -60 . x^5$
Hoạt động 2 trang 36 Toán 7 tập 2 KNTT
Áp dụng tính chất phân phối của phép nhân đối với phép cộng, hãy tìm tích $2x.(3x^2 – 8x + 1)$ bằng cách nhân $2x$ với từng hạng tử của đa thức $3x^2 – 8x + 1$ rồi cộng các tích tìm được
Trả lời:
Đa thức $3x^2 – 8x + 1$ có các hạng tử là: $3x^2 ; -8x ; 1$.
Nhân $2x$ với từng hạng tử ta được:
• $2x . 3x^2 = (2.3). (x.x^2) = 6x^3$
• $2x. (-8x) = [2.(-8) ]. (x.x) = -16x^2$
• $2x. 1 = 2x$
Vậy $2x.(3x^2 – 8x + 1) = 6x^3 -16x^2 + 2x$.
Luyện tập 1 trang 36 Toán 7 tập 2 KNTT
Tính: $(-2x^2) . (3x – 4x^3 + 7 – x^2)$.
Trả lời:
Ta có:
$(-2x^2) . (3x – 4x^3 + 7 – x^2)$
$= (-2x^2) . 3x + (-2x^2) . (-4x^3) + (-2x^2) . 7 + (-2x^2) . (-x^2)$
$= [(-2).3] . (x^2 . x) + [(-2).(-4)] . (x^3 . x^2) + [(-2).7] . x^2 + [(-2).(-1)] . (x^2 . x^2)$
$= -6x^3 + 8x^5 + (-14)x^2 + 2x^4$
$= 8x^5 +2x^4 -6x^3 – 14x^2$.
Vận dụng 1 trang 37 Toán 7 tập 2 KNTT
a) Rút gọn biểu thức $P(x) = 7x^2 . (x^2 – 5x + 2 ) – 5x .(x^3 – 7x^2 + 3x)$.
b) Tính giá trị biểu thức $P(x)$ khi \(x = – \dfrac{1}{2}\).
Trả lời:
a) Ta có:
$P(x) = 7x^2 . (x^2 – 5x + 2 ) – 5x .(x^3 – 7x^2 + 3x)$
$= 7x^2 . x^2 + 7x^2 . (-5x) + 7x^2 . 2 – [5x. x^3 + 5x . (-7x^2) + 5x . 3x]$
$= 7. (x^2 . x^2) + [7.(-5)] . (x^2 . x) + (7.2).x – {5. (x.x^3) + [5.(-7)]. (x.x^2) + (5.3).(x.x)}$
$= 7x^4 + (-35). x^3 + 14x^2 – [5x^4 + (-35)x^3 + 15x^2]$
$= 7x^4 + (-35). x^3 + 14x^2 – 5x^4 + 35x^3 – 15x^2$
$= (7x^4 – 5x^4) + [(-35). x^3 + 35x^3 ] – (15x^2 + 14x^2)$
$= 2x^4 + 0 – x^2$
$= 2x^4 – x^2$.
b) Thay \(x = – \dfrac{1}{2}\) vào $P(x)$, ta được:
\(P(- \dfrac{1}{2}) = 2.(- \dfrac{1}{2})^4 – (- \dfrac{1}{2})^2\)
$= 2.\dfrac{1}{{16}} – \dfrac{1}{4} = \dfrac{1}{8} – \dfrac{2}{8} = -\dfrac{1}{8}$
Thử thách nhỏ trang 37 Toán 7 tập 2 KNTT
Rút gọn biểu thức $x^3(x+2) – x(x^3 + 2^3) – 2x(x^2 – 2^2)$.
Trả lời:
Ta có:
$x^3(x+2) – x(x^3 + 2^3) – 2x(x^2 – 2^2)$
$= x^3 . x + x^3 . 2 – (x . x^3 + x . 2^3) – (2x . x^2 – 2x . 2^2)$
$= x^4 + 2x^3 – (x^4 + 8x ) – (2x^3 – 8x)$
$= x^4 + 2x^3 – x^4 – 8x – 2x^3 + 8x$
$= (x^4 – x^4) + (2x^3 – 2x^3) + (-8x + 8x)$
$= 0$
2. NHÂN ĐA THỨC VỚI ĐA THỨC
Hoạt động 3 trang 37 Toán 7 tập 2 KNTT
Tính $(2x – 3) . (x^2 – 5x + 1)$ bằng cách thực hiện các bước sau:
Bước 1: Nhân $2x$ với đa thức $x^2 – 5x + 1$.
Bước 2: Nhân $(-3)$ với đa thức $x^2 – 5x + 1$.
Bước 3: Cộng các đa thức thu được ở hai bước trên và thu gọn.
Kết quả thu được là tích của đa thức $2x – 3$ với đa thức $x^2 – 5x + 1$.
Trả lời:
Ta có:
$(2x – 3) . (x^2 – 5x + 1)$
$= 2x. (x^2 – 5x + 1) + (-3). (x^2 – 5x + 1)$
$= 2x . x^2 + 2x . (-5x) + 2x . 1 + (-3).x^2 + (-3).(-5x) + (-3). 1$
$= 2x^3 + (-10x^2 ) + 2x + (-3x^2) + 15x + (-3)$
$= 2x^3 + (-10x^2 + -3x^2) + (2x + 15x) + (-3)$
$= 2x^3 – 13x^2 + 17x – 3$.
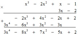
Luyện tập 2 trang 38 Toán 7 tập 2 KNTT
Tính $(x^3 – 2x^2 + x – 1)(3x – 2)$. Trình bày lời giải theo hai cách.
Trả lời:
♦ Cách 1:
$(x^3 – 2x^2 + x – 1) (3x – 2)$
$= x^3 . (3x – 2) + (-2x^2) .(3x – 2) + x .(3x – 2) + (-1) . (3x – 2)$
$= x^3 . 3x + x^3 . (-2) + (-2x^2). 3x + (-2x^2) . (-2)\\+ x . 3x + x. (-2) + (-1). 3x + (-1). (-2)$
$= 3x^4 – 2x^3 – 6x^3 + 4x^2 + 3x^2 – 2x – 3x + 2$
$= 3x^4 + (-2x^3 -6x^3) + (4x^2 + 3x^2 ) + (-2x – 3x) + 2$
$= x^4 + (-8x^3) + 7x^2 + (-5x) + 2$
$= x^4 – 8x^3 +7x^2 – 5x + 2$
♦ Cách 2: Đặt tính

Vận dụng 2 trang 38 Toán 7 tập 2 KNTT
Rút gọn biểu thức $(x – 2) . (2x^3 – x^2 + 1) + (x – 2) x^2(1 – 2x)$.
Trả lời:
Ta có:
$(x – 2) . (2x^3 – x^2 + 1) + (x – 2) x^2(1 – 2x)$
$= (x – 2). [(2x^3 – x^2 + 1) + x^2(1 – 2x)]$
$= (x – 2). [2x^3 – x^2 + 1 + x^2 . 1 + x^2 . (-2x)]$
$= (x – 2) . (2x^3 – x^2 + 1 + x^2 – 2x^3)$
$= (x – 2) .1$
$= x – 2$
Vậy $(x – 2)(2x^3 – x^2 + 1) + (x – 2)x^2(1 – 2x) = x – 2.$
Vận dụng 3 trang 38 Toán 7 tập 2 KNTT
Trở lại bài toán đoán tuổi, để giải thích bí mật trong bài toán đoán tuổi của anh Pi, em hãy thực hiện các yêu cầu sau:
• Gọi x là tuổi cần đoán. Tìm đa thức (biến x) biểu thị kết quả thứ nhất và kết quả thứ hai.
• Tìm đa thức biểu thị kết quả cuối cùng.
Từ đó hãy nêu cách tìm x.
Trả lời:
Đa thức biểu thị kết quả thứ nhất: $K = (x + 1)^2$
Đa thức biểu thị kết quả thứ hai: $H = (x – 1)^2$
Đa thức biểu thị kết quả cuối cùng:
$Q = K – H = (x + 1)^2 – (x – 1)^2$
$= (x+1).(x+1) – (x – 1). (x – 1)$
$= x.(x+1) + 1.(x+1) – x(x-1) + (-1). (x-1)$
$= x.x + x.1 + 1.x + 1.1 –[ x.x – x .1 + (-1).x + (-1) . (-1)]$
$= x^2 + x + x + 1 – (x^2 – x – x + 1)$
$= x^2 + x + x + 1 – x^2 + x + x – 1$
$= (x^2 – x^2 ) + (x+x+x+x) + (1- 1)$
$= 4x$
Để tìm $x$, ta lấy kết quả cuối cùng chia cho $4$.
GIẢI BÀI TẬP
Sau đây là phần Giải bài 23 24 25 26 27 28 29 trang 38 sgk Toán 7 tập 2 Kết Nối Tri Thức. Nội dung chi tiết bài giải từng bài tập các bạn xem dưới đây:
Giải bài 7.23 trang 38 Toán 7 tập 2 KNTT
Thực hiện các phép nhân sau:
a) $6x^2 . (2x^3 – 3x^2 + 5x – 4)$;
b) $(-1,2x^2) . (2,5x^4 – 2x^3 + x^2 – 1,5)$.
Bài giải:
a) Ta có:
$6x^2 . (2x^3 – 3x^2 + 5x – 4)$
$= 6x^2 . 2x^3 +6x^2 . (-3x^2) + 6x^2 . 5x + 6x^2 .(-4)$
$= 12x^5 – 18x^4 + 30x^3 – 24x^2$.
b) Ta có:
$(-1,2x^2) . (2,5x^4 – 2x^3 + x^2 – 1,5)$
$= (-1,2x^2) . 2,5x^4 + (-1,2x^2) . (-2x^3) + (-1,2x^2) . x^2 + (-1,2x^2) . (-1,5)$
$= -3x^6 + 2,4x^5 – 1,2x^4 + 1,8x^2$.
Giải bài 7.24 trang 38 Toán 7 tập 2 KNTT
Rút gọn các biểu thức sau:
a) $4x^2(5x^2 + 3) – 6x(3x^3 – 2x + 1) – 5x^3 (2x – 1)$;
b) \(\dfrac{3}{2}x\left( {{x^2} – \dfrac{2}{3}x + 2} \right) – \dfrac{5}{3}{x^2}(x + \dfrac{6}{5})\).
Bài giải:
a) Ta có:
$4x^2(5x^2 + 3) – 6x(3x^3 – 2x + 1) – 5x^3 (2x – 1)$
$= 4x^2 . 5x^2 + 4x^2 . 3 – [6x . 3x^3 + 6x . (-2x) + 6x . 1] – [5x^3 . 2x + 5x^3 . (-1)]$
$= 20x^4 + 12x^2 – (18x^4 – 12x^2 + 6x) – (10x^4 – 5x^3)$
$= 20x^4 + 12x^2 – 18x^4 + 12x^2 – 6x – 10x^4 + 5x^3$
$= (20x^4 – 18x^4 – 10x^4 ) + 5x^3 + (12x^2 + 12x^2 ) – 6x$
$= -8x^4 + 5x^3 + 24x^2 – 6x$.
b) Ta có:
$\dfrac{3}{2}x\left( {{x^2} – \dfrac{2}{3}x + 2} \right) – \dfrac{5}{3}{x^2}(x + \dfrac{6}{5})\\ = \dfrac{3}{2}x.{x^2} + \dfrac{3}{2}x.( – \dfrac{2}{3}x) + \dfrac{3}{2}x.2 – (\dfrac{5}{3}{x^2}.x + \dfrac{5}{3}{x^2}.\dfrac{6}{5})\\ = \dfrac{3}{2}{x^3} – {x^2} + 3x – (\dfrac{5}{3}{x^3} + 2{x^2})\\ = \dfrac{3}{2}{x^3} – {x^2} + 3x – \dfrac{5}{3}{x^3} – 2{x^2}\\ = (\dfrac{3}{2}{x^3} – \dfrac{5}{3}{x^3}) + ( – {x^2} – 2{x^2}) + 3x\\ = \dfrac{{ – 1}}{6}{x^3} – 3{x^2} + 3x$.
Giải bài 7.25 trang 38 Toán 7 tập 2 KNTT
Thực hiện phép nhân sau:
a) $(x^2 – x) . (2x^2 – x – 10)$;
b) $(0,2x^2 – 3x) . 5(x^2 -7x + 3)$.
Bài giải:
a) Ta có:
$(x^2 – x) . (2x^2 – x – 10)$
$= x^2 . (2x^2 – x – 10) – x. (2x^2 – x – 10)$
$= x^2 . 2x^2 + x^2 . (-x) – x^2 .10 – [ x. 2x^2 + x. (-x) + x. (-10)]$
$= 2x^4 – x^3 – 10x^2 – (2x^3 – x^2 – 10x)$
$= 2x^4 – x^3 – 10x^2 – 2x^3 + x^2 + 10x$
$= 2x^4 + (– x^3 – 2x^3 ) – 9x^2 + 10x$
$= 2x^4 – 3x^3 – 9x^2 + 10x$
b) Ta có:
$(0,2x^2 – 3x) . 5(x^2 -7x + 3)$
$= (0,2x^2 . 5 – 3x . 5) . (x^2 -7x + 3)$
$= (x^2 – 15x). (x^2 -7x + 3)$
$= x^2 . (x^2 – 7x + 3) – 15x. (x^2 – 7x + 3)$
$= x^2 . x^2 + x^2 . (-7x) + x^2 . 3 – [15x.x^2 + 15x.(-7x) + 15x.3]$
$= x^4 – 7x^3 + 3x^2 – (15x^3 – 105x^2 + 45x)$
$= x^4 – 7x^3 + 3x^2 – 15x^3 + 105x^2 – 45x$
$= x^4 – 22x^3 + 108x^2 – 45x$.
Giải bài 7.26 trang 38 Toán 7 tập 2 KNTT
a) Tính $(x^2 – 2x + 5) . (x – 2)$.
b) Từ đó hãy suy ra kết quả phép nhân $(x^2 – 2x + 5) . (2– x)$. Giải thích cách làm.
Bài giải:
a) Ta có:
$(x^2 – 2x + 5) . (x – 2)$
$= x^2 . (x – 2) – 2x . (x – 2) + 5. (x – 2)$
$= x^2 . x + x^2 . (-2) – [2x. x + 2x.(-2) ] + 5.x + 5. (-2)$
$= x^3 – 2x^2 – (2x^2 – 4x) +5x – 10$
$= x^3 – 2x^2 – 2x^2 + 4x +5x – 10$
$= x^3 +(– 2x^2 – 2x^2 )+ (4x +5x) – 10$
$= x^3 – 4x^2 + 9x – 10$
b) Vì $(x^2 – 2x + 5) . (2– x) = (x^2 – 2x + 5) . [-(x– 2)] = – (x^2 – 2x + 5) . (x – 2)$
Do đó: $(x^2 – 2x + 5) . (2– x) = – (x^3 – 4x^2 + 9x – 10) = -x^3 + 4x^2 – 9x + 10$
Giải bài 7.27 trang 38 Toán 7 tập 2 KNTT
Giả sử ba kích thước của một hình hộp chữ nhật là $x; x +1; x – 1$ (cm) với $x > 1$. Tìm đa thức biểu thị thể tích (đơn vị: $cm^3$) của hình hộp chữ nhật đó.
Bài giải:
Đa thức biểu thị thể tích hình hộp chữ nhật đó là:
$V = x . (x + 1) . (x – 1)$
$= (x.x + x.1) . (x – 1)$
$= (x^2 + x) . (x – 1)$
$= x^2 . (x -1) + x .(x – 1)$
$= x^2 . x + x^2 . (-1) + x.x + x . (-1)$
$= x^3 – x^2 + x^2 – x$
$= x^3 – x$.
Giải bài 7.28 trang 38 Toán 7 tập 2 KNTT
Thực hiện các phép nhân hai đa thức sau:
a) $5x^3 – 2x^2 + 4x – 4$ và $x^3 + 3x^2 – 5$;
b) $-2,5.x^4 + 0,5x^2 + 1$ và $4x^3 – 2x + 6$.
Bài giải:
a) Ta có:
$(5x^3 – 2x^2 + 4x – 4) . (x^3 + 3x^2 – 5)$
$= 5x^3 . (x^3 + 3x^2 – 5) – 2x^2 . (x^3 + 3x^2 – 5) + 4x . (x^3 + 3x^2 – 5) – 4 . (x^3 + 3x^2 – 5)$
$= 5x^3 . x^3 + 5x^3 . 3x^2 + 5x^3 . (-5) – [ 2x^2 . x^3 + 2x^2 . 3x^2 +2x^2 . (-5)]\\+ [4x . x^3 + 4x. 3x^2 + 4x . (-5)] – [ 4x^3 + 4.3x^2 + 4.(-5)]$
$= 5x^6 + 15x^5 – 25x^3 – (2x^5 + 6x^4 – 10x^2) + 4x^4 + 12x^3 – 20x – (4x^3 + 12x^2 – 20)$
$= 5x^6 + 15x^5 – 25x^3 – 2x^5 – 6x^4 + 10x^2 + 4x^4 + 12x^3 – 20x – 4x^3 – 12x^2 + 20$
$= 5x^6 + (15x^5 – 2x^5 ) + (- 6x^4 + 4x^4 ) + (-25x^3 + 12x^3 – 4x^3 ) + (10x^2 – 12x^2 ) – 20x + 20$
$= 5x^6 + 13x^5 – 2x^4 – 17x^3 -2x^2 – 20x + 20$
b) Ta có:
$(-2,5.x^4 + 0,5x^2 + 1) . (4x^3 – 2x + 6)$
$= -2,5.x^4 . (4x^3 – 2x + 6) + 0,5x^2 . (4x^3 – 2x + 6) + 1. (4x^3 – 2x + 6)$
$= (-2,5.x^4) . 4x^3 + (-2,5.x^4 ) . (-2x) + (-2,5.x^4 ) . 6\\+0,5x^2 . 4x^3 + 0,5x^2 . (-2x) + 0,5x^2 . 6 + 4x^3 – 2x + 6$
$= -10x^7 + 5x^5 – 15x^4 + 2x^5 – x^3 + 3x^2 + 4x^3 – 2x + 6$
$= -10x^7 + ( 5x^5 + 2x^5 ) – 15x^4 + (– x^3 + 4x^3 ) + 3x^2 – 2x + 6$
$= -10x^7 + 7x^5 – 15x^4 + 3x^3 + 3x^2 – 2x + 6$.
Giải bài 7.29 trang 38 Toán 7 tập 2 KNTT
Người ta dùng những chiếc cọc để rào một mảnh vườn hình chữ nhật sao cho mỗi góc vườn đều có một chiếc cọc và hai cọc liên tiếp cắm cách nhau 0,1 m. Biết rằng số cọc dùng để rào hết chiều dài của vườn nhiều hơn số cọc dùng để rào hết chiều rộng là 20 chiếc. Gọi số cọc dùng để rào hết chiều rộng là x . Tìm đa thức biểu thị diện tích của vườn đó.
Bài giải:
Vì số cọc để rào hết chiều dài của vườn nhiều hơn số cọc dùng để rào hết chiều rộng là $20$ chiếc nên số cọc dùng để rào chiều dài là: $x + 20$
Do mỗi góc vườn đều có một chiếc cọc và hai cọc liên tiếp cắm cách nhau $0,1$ m nên:
Chiều rộng của mảnh vườn là:
$0,1 . (x – 1) = 0,1x – 0,1$
Chiều dài của mảnh vườn là:
$0,1 . (x + 20 – 1) = 0,1(x + 19) = 0,1x + 1,9$
Đa thức biểu diễn diện tích mảnh vườn là:
$S = (0,1x – 0,1) . (0,1x + 1,9)$
$= 0,1x . (0,1x + 1,9) – 0, 1. (0,1x + 1,9)$
$= 0,1x . 0,1x + 0,1x . 1,9 – (0,1.0,1x + 0,1. 1,9)$
$= 0,01x^2 + 0,19x – (0,01x + 0,19)$
$= 0,01x^2 + 0,19x – 0,01x – 0,19$
$= 0,01x^2 + 0,18x – 0,19$
Bài trước:
👉 Giải bài 18 19 20 21 22 trang 35 sgk Toán 7 tập 2 Kết Nối Tri Thức
Bài tiếp theo:
👉 Giải bài 30 31 32 33 34 35 trang 43 sgk Toán 7 tập 2 Kết Nối Tri Thức
Trên đây là bài Hướng dẫn Giải bài 23 24 25 26 27 28 29 trang 38 sgk Toán 7 tập 2 Kết Nối Tri Thức đầy đủ, ngắn gọn và dễ hiểu nhất. Chúc các bạn làm bài môn toán 7 tốt nhất!
“Bài tập nào khó đã có giaibaisgk.com“
